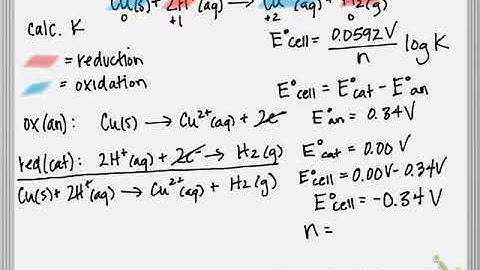
Using standard electrode potentials, calculate ΔG and use its value to estimate the equilibrium co…

Tonton & Download Video Musik Gratis

⬇ DOWNLOAD NOW
Kalau muncul iklan pop-up, tutup lalu klik tombol kembali

Download lagu Using standard electrode potentials, calculate ΔG and use its value to estimate the equilibrium co… secara gratis hanya untuk keperluan promosi. Dukung artis favorit kamu dengan membeli musik original di iTunes atau platform resmi lainnya.