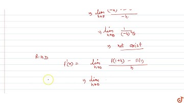
show that the function f(x)= |x-1| + |x+1| is not differentiable at x=-1 and x=1

Tonton & Download Video Musik Gratis

⬇ DOWNLOAD NOW
Kalau muncul iklan pop-up, tutup lalu klik tombol kembali

Download lagu show that the function f(x)= |x-1| + |x+1| is not differentiable at x=-1 and x=1 secara gratis hanya untuk keperluan promosi. Dukung artis favorit kamu dengan membeli musik original di iTunes atau platform resmi lainnya.