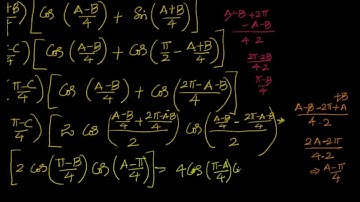
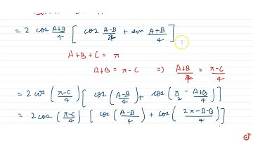
In triangle ABC, prove that `cos(A/2)+cos(B/2)+cos(C/2)=4cos(pi-A)/4cos(pi-B)/4cos(pi-C)/4`

Tonton & Download Video Musik Gratis

⬇ DOWNLOAD NOW
Kalau muncul iklan pop-up, tutup lalu klik tombol kembali

Download lagu In triangle ABC, prove that `cos(A/2)+cos(B/2)+cos(C/2)=4cos(pi-A)/4cos(pi-B)/4cos(pi-C)/4` secara gratis hanya untuk keperluan promosi. Dukung artis favorit kamu dengan membeli musik original di iTunes atau platform resmi lainnya.