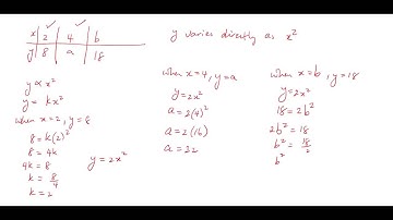
2016 Maths General 2 HSC Q18 Evaluate variable E given non-linear direct variation equation E=kS²

Tonton & Download Video Musik Gratis

⬇ DOWNLOAD NOW
Kalau muncul iklan pop-up, tutup lalu klik tombol kembali

Download lagu 2016 Maths General 2 HSC Q18 Evaluate variable E given non-linear direct variation equation E=kS² secara gratis hanya untuk keperluan promosi. Dukung artis favorit kamu dengan membeli musik original di iTunes atau platform resmi lainnya.