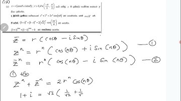
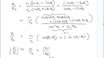
Combined Maths 2025 A/L Western Province 3rd Term Test - Pure Question 11 part b Solution

Tonton & Download Video Musik Gratis

⬇ DOWNLOAD NOW
Kalau muncul iklan pop-up, tutup lalu klik tombol kembali

Download lagu Combined Maths 2025 A/L Western Province 3rd Term Test - Pure Question 11 part b Solution secara gratis hanya untuk keperluan promosi. Dukung artis favorit kamu dengan membeli musik original di iTunes atau platform resmi lainnya.