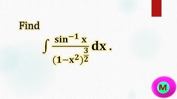
Solving ∫ sin⁻¹(x) / (1 - x²)^(3/2) dx | Calculus Tutorial

Tonton & Download Video Musik Gratis

⬇ DOWNLOAD NOW
Kalau muncul iklan pop-up, tutup lalu klik tombol kembali

Download lagu Solving ∫ sin⁻¹(x) / (1 - x²)^(3/2) dx | Calculus Tutorial secara gratis hanya untuk keperluan promosi. Dukung artis favorit kamu dengan membeli musik original di iTunes atau platform resmi lainnya.