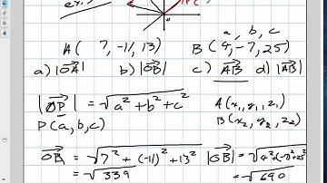
Operations with Vectors in Three Space R3) (Grade 12 Calculus and Vectors lesson 6 7 7 3 13)

Tonton & Download Video Musik Gratis

⬇ DOWNLOAD NOW
Kalau muncul iklan pop-up, tutup lalu klik tombol kembali

Download lagu Operations with Vectors in Three Space R3) (Grade 12 Calculus and Vectors lesson 6 7 7 3 13) secara gratis hanya untuk keperluan promosi. Dukung artis favorit kamu dengan membeli musik original di iTunes atau platform resmi lainnya.