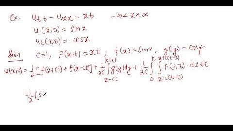
Lec 5.1: Sec 5.3: Homogenous wave equation in an infinite string: De' Alembert Solution

Tonton & Download Video Musik Gratis

⬇ DOWNLOAD NOW
Kalau muncul iklan pop-up, tutup lalu klik tombol kembali

Download lagu Lec 5.1: Sec 5.3: Homogenous wave equation in an infinite string: De' Alembert Solution secara gratis hanya untuk keperluan promosi. Dukung artis favorit kamu dengan membeli musik original di iTunes atau platform resmi lainnya.