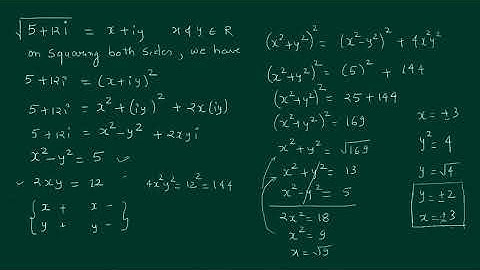
complex number square trick| for NDA,Airforce || short trick to find square root of complex number

Tonton & Download Video Musik Gratis

⬇ DOWNLOAD NOW
Kalau muncul iklan pop-up, tutup lalu klik tombol kembali

Download lagu complex number square trick| for NDA,Airforce || short trick to find square root of complex number secara gratis hanya untuk keperluan promosi. Dukung artis favorit kamu dengan membeli musik original di iTunes atau platform resmi lainnya.