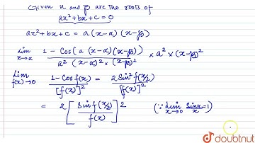
Let α and β be the distinct roots of ax² + bx + c = 0, then lim (x → α) (1 − cos(ax² + bx + c)) /

Tonton & Download Video Musik Gratis

⬇ DOWNLOAD NOW
Kalau muncul iklan pop-up, tutup lalu klik tombol kembali

Download lagu Let α and β be the distinct roots of ax² + bx + c = 0, then lim (x → α) (1 − cos(ax² + bx + c)) / secara gratis hanya untuk keperluan promosi. Dukung artis favorit kamu dengan membeli musik original di iTunes atau platform resmi lainnya.