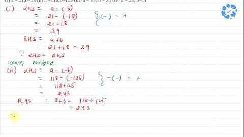
Verify a-(-b) = a+b for the following values of a and b. br a = 21, b = | Class 7 Maths | Doubtnut

Tonton & Download Video Musik Gratis

⬇ DOWNLOAD NOW
Kalau muncul iklan pop-up, tutup lalu klik tombol kembali

Download lagu Verify a-(-b) = a+b for the following values of a and b. br a = 21, b = | Class 7 Maths | Doubtnut secara gratis hanya untuk keperluan promosi. Dukung artis favorit kamu dengan membeli musik original di iTunes atau platform resmi lainnya.