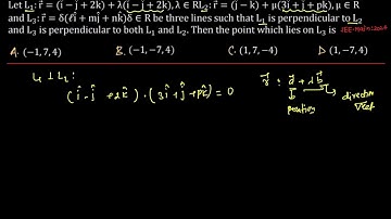
Three lines \(L_1: \vec{r}=\lambda \hat{i}, \lambda \in R, L_2: \vec{r}=\vec{k}+\mu \hat{j}, \mu....

Tonton & Download Video Musik Gratis

⬇ DOWNLOAD NOW
Kalau muncul iklan pop-up, tutup lalu klik tombol kembali

Download lagu Three lines \(L_1: \vec{r}=\lambda \hat{i}, \lambda \in R, L_2: \vec{r}=\vec{k}+\mu \hat{j}, \mu.... secara gratis hanya untuk keperluan promosi. Dukung artis favorit kamu dengan membeli musik original di iTunes atau platform resmi lainnya.