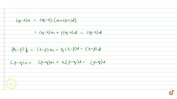
If \( p, q, r \) are in A.P., show that \( p \) th, \( q \) th and \( r \) th terms of any G.P. ...

Tonton & Download Video Musik Gratis

⬇ DOWNLOAD NOW
Kalau muncul iklan pop-up, tutup lalu klik tombol kembali

Download lagu If \( p, q, r \) are in A.P., show that \( p \) th, \( q \) th and \( r \) th terms of any G.P. ... secara gratis hanya untuk keperluan promosi. Dukung artis favorit kamu dengan membeli musik original di iTunes atau platform resmi lainnya.