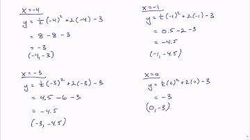
MTH 65 (m9v19) Graph a Parabola using the Vertex and a Table

Tonton & Download Video Musik Gratis

⬇ DOWNLOAD NOW
Kalau muncul iklan pop-up, tutup lalu klik tombol kembali

Download lagu MTH 65 (m9v19) Graph a Parabola using the Vertex and a Table secara gratis hanya untuk keperluan promosi. Dukung artis favorit kamu dengan membeli musik original di iTunes atau platform resmi lainnya.