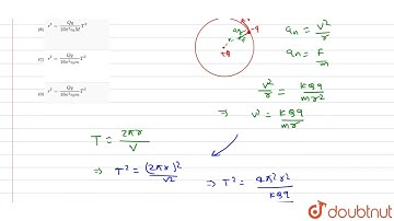
A particle of the charged `q` and `mass m` moves in a circular orbit of radius `r ` with angular...

Tonton & Download Video Musik Gratis

⬇ DOWNLOAD NOW
Kalau muncul iklan pop-up, tutup lalu klik tombol kembali

Download lagu A particle of the charged `q` and `mass m` moves in a circular orbit of radius `r ` with angular... secara gratis hanya untuk keperluan promosi. Dukung artis favorit kamu dengan membeli musik original di iTunes atau platform resmi lainnya.