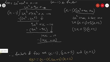
CAPE Pure Mathematics 2012 Unit 1 Paper 02 Question 1a

Tonton & Download Video Musik Gratis

⬇ DOWNLOAD NOW
Kalau muncul iklan pop-up, tutup lalu klik tombol kembali

Download lagu CAPE Pure Mathematics 2012 Unit 1 Paper 02 Question 1a secara gratis hanya untuk keperluan promosi. Dukung artis favorit kamu dengan membeli musik original di iTunes atau platform resmi lainnya.