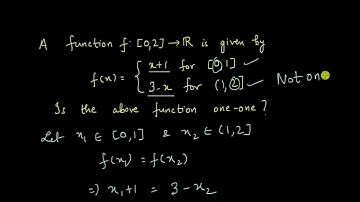
let f n to n be defined by f(n) State whether function is bijective | NCERT Ex 1.2 Q 9 Class 12 Math

Tonton & Download Video Musik Gratis

⬇ DOWNLOAD NOW
Kalau muncul iklan pop-up, tutup lalu klik tombol kembali

Download lagu let f n to n be defined by f(n) State whether function is bijective | NCERT Ex 1.2 Q 9 Class 12 Math secara gratis hanya untuk keperluan promosi. Dukung artis favorit kamu dengan membeli musik original di iTunes atau platform resmi lainnya.