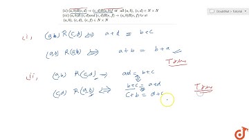
Let R be a relation on N × N defined by `(a, b) R (c, d) lt= gt a + d = b + c` for all...

Tonton & Download Video Musik Gratis

⬇ DOWNLOAD NOW
Kalau muncul iklan pop-up, tutup lalu klik tombol kembali

Download lagu Let R be a relation on N × N defined by `(a, b) R (c, d) lt= gt a + d = b + c` for all... secara gratis hanya untuk keperluan promosi. Dukung artis favorit kamu dengan membeli musik original di iTunes atau platform resmi lainnya.