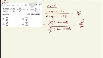
Let `a_1,a_2,a_3……….` be term of an A.P. if `(a_1+a_2+….+a_p)/(a_1+a_2+………+a_q)=p^2/q^

Tonton & Download Video Musik Gratis

⬇ DOWNLOAD NOW
Kalau muncul iklan pop-up, tutup lalu klik tombol kembali

Download lagu Let `a_1,a_2,a_3……….` be term of an A.P. if `(a_1+a_2+….+a_p)/(a_1+a_2+………+a_q)=p^2/q^ secara gratis hanya untuk keperluan promosi. Dukung artis favorit kamu dengan membeli musik original di iTunes atau platform resmi lainnya.