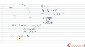
A ball is thrown horizontally from a point 100 m above the ground with a speed of 20 m/s.find time.

Tonton & Download Video Musik Gratis

⬇ DOWNLOAD NOW
Kalau muncul iklan pop-up, tutup lalu klik tombol kembali

Download lagu A ball is thrown horizontally from a point 100 m above the ground with a speed of 20 m/s.find time. secara gratis hanya untuk keperluan promosi. Dukung artis favorit kamu dengan membeli musik original di iTunes atau platform resmi lainnya.