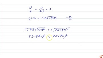
Tangents are drawn from any point on `x^2-y^2=a^2-b^2` to the ellipse `x^2/a^2+y^2/b^2=1`.

Tonton & Download Video Musik Gratis

⬇ DOWNLOAD NOW
Kalau muncul iklan pop-up, tutup lalu klik tombol kembali

Download lagu Tangents are drawn from any point on `x^2-y^2=a^2-b^2` to the ellipse `x^2/a^2+y^2/b^2=1`. secara gratis hanya untuk keperluan promosi. Dukung artis favorit kamu dengan membeli musik original di iTunes atau platform resmi lainnya.