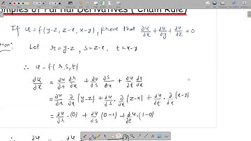
Examples of #Partial #Differentiation| Lecture-21| Unit-IV-Engg. Maths- Sem-I | by #Aryacollege

Tonton & Download Video Musik Gratis

⬇ DOWNLOAD NOW
Kalau muncul iklan pop-up, tutup lalu klik tombol kembali

Download lagu Examples of #Partial #Differentiation| Lecture-21| Unit-IV-Engg. Maths- Sem-I | by #Aryacollege secara gratis hanya untuk keperluan promosi. Dukung artis favorit kamu dengan membeli musik original di iTunes atau platform resmi lainnya.