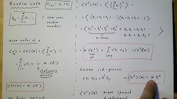
Advanced Mathematical Modelling, part 32: Matheron-de-Marsiliy model and super-diffusion

Tonton & Download Video Musik Gratis

⬇ DOWNLOAD NOW
Kalau muncul iklan pop-up, tutup lalu klik tombol kembali

Download lagu Advanced Mathematical Modelling, part 32: Matheron-de-Marsiliy model and super-diffusion secara gratis hanya untuk keperluan promosi. Dukung artis favorit kamu dengan membeli musik original di iTunes atau platform resmi lainnya.