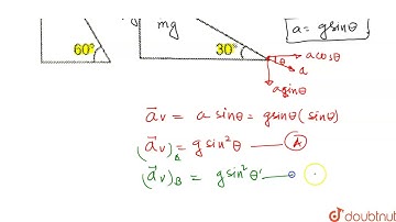
JEE | Two fixed frictionless inclined planes making an angle 30°and 60° with the vertical are shown

Tonton & Download Video Musik Gratis

⬇ DOWNLOAD NOW
Kalau muncul iklan pop-up, tutup lalu klik tombol kembali

Download lagu JEE | Two fixed frictionless inclined planes making an angle 30°and 60° with the vertical are shown secara gratis hanya untuk keperluan promosi. Dukung artis favorit kamu dengan membeli musik original di iTunes atau platform resmi lainnya.