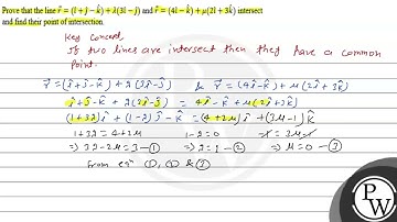
Show that the lines `vec(r )=(hat(i) +2hat(j) +3hat(k)) + lambda(2hat(i) +3hat(j) +4hat(k)) \" and

Tonton & Download Video Musik Gratis

⬇ DOWNLOAD NOW
Kalau muncul iklan pop-up, tutup lalu klik tombol kembali

Download lagu Show that the lines `vec(r )=(hat(i) +2hat(j) +3hat(k)) + lambda(2hat(i) +3hat(j) +4hat(k)) \" and secara gratis hanya untuk keperluan promosi. Dukung artis favorit kamu dengan membeli musik original di iTunes atau platform resmi lainnya.