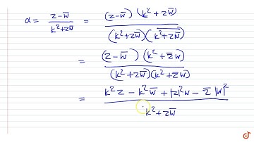
JEE MAINS 2018 If a point `z_1` is a reflection of a point `z_2` through the line `b bar z + bar...

Tonton & Download Video Musik Gratis

⬇ DOWNLOAD NOW
Kalau muncul iklan pop-up, tutup lalu klik tombol kembali

Download lagu JEE MAINS 2018 If a point `z_1` is a reflection of a point `z_2` through the line `b bar z + bar... secara gratis hanya untuk keperluan promosi. Dukung artis favorit kamu dengan membeli musik original di iTunes atau platform resmi lainnya.