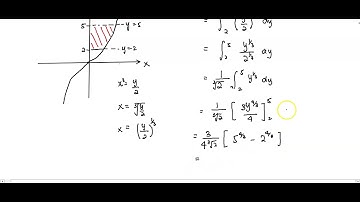
Find the area (in sq. unit) of the region bounded by [(x,y):y²≤2x and y≥4x-1]

Tonton & Download Video Musik Gratis

⬇ DOWNLOAD NOW
Kalau muncul iklan pop-up, tutup lalu klik tombol kembali

Download lagu Find the area (in sq. unit) of the region bounded by [(x,y):y²≤2x and y≥4x-1] secara gratis hanya untuk keperluan promosi. Dukung artis favorit kamu dengan membeli musik original di iTunes atau platform resmi lainnya.