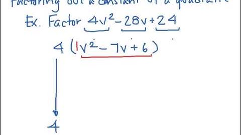
MAT 0028 ALEKS Module 6 Factoring out a constant before factoring a quadratic

Tonton & Download Video Musik Gratis

⬇ DOWNLOAD NOW
Kalau muncul iklan pop-up, tutup lalu klik tombol kembali

Download lagu MAT 0028 ALEKS Module 6 Factoring out a constant before factoring a quadratic secara gratis hanya untuk keperluan promosi. Dukung artis favorit kamu dengan membeli musik original di iTunes atau platform resmi lainnya.