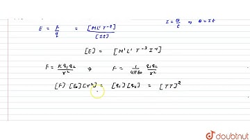
The dimension of sigma b^4 (where sigma is Stefan's constant and b is Wien's constant) are [ML^4...

Tonton & Download Video Musik Gratis

⬇ DOWNLOAD NOW
Kalau muncul iklan pop-up, tutup lalu klik tombol kembali

Download lagu The dimension of sigma b^4 (where sigma is Stefan's constant and b is Wien's constant) are [ML^4... secara gratis hanya untuk keperluan promosi. Dukung artis favorit kamu dengan membeli musik original di iTunes atau platform resmi lainnya.