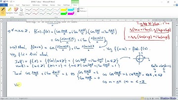
[Toán Đại học, CĐ] Đồng Cấu Nhóm - Đại số đại cương

Tonton & Download Video Musik Gratis

⬇ DOWNLOAD NOW
Kalau muncul iklan pop-up, tutup lalu klik tombol kembali

Download lagu [Toán Đại học, CĐ] Đồng Cấu Nhóm - Đại số đại cương secara gratis hanya untuk keperluan promosi. Dukung artis favorit kamu dengan membeli musik original di iTunes atau platform resmi lainnya.