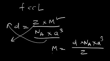
A metal has a fcc lattice. The edge length of the unit cell is 404 2 pm. The density of the metal...

Tonton & Download Video Musik Gratis

⬇ DOWNLOAD NOW
Kalau muncul iklan pop-up, tutup lalu klik tombol kembali

Download lagu A metal has a fcc lattice. The edge length of the unit cell is 404 2 pm. The density of the metal... secara gratis hanya untuk keperluan promosi. Dukung artis favorit kamu dengan membeli musik original di iTunes atau platform resmi lainnya.