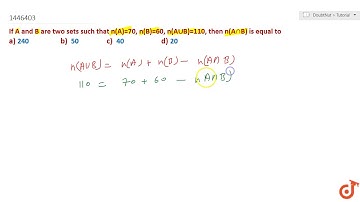
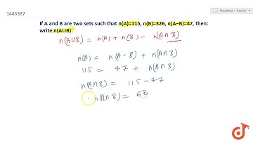
If A and B are two disjoint sets, then ltmath gt ltmrow gt ltmi gtn lt/mi gt ltmrow gt ltmo

Tonton & Download Video Musik Gratis

⬇ DOWNLOAD NOW
Kalau muncul iklan pop-up, tutup lalu klik tombol kembali

Download lagu If A and B are two disjoint sets, then ltmath gt ltmrow gt ltmi gtn lt/mi gt ltmrow gt ltmo secara gratis hanya untuk keperluan promosi. Dukung artis favorit kamu dengan membeli musik original di iTunes atau platform resmi lainnya.