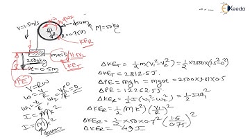
Mastering the Numerical 12: Brake design | Design of Brakes and Clutches | GATE Machine Design

Tonton & Download Video Musik Gratis

⬇ DOWNLOAD NOW
Kalau muncul iklan pop-up, tutup lalu klik tombol kembali

Download lagu Mastering the Numerical 12: Brake design | Design of Brakes and Clutches | GATE Machine Design secara gratis hanya untuk keperluan promosi. Dukung artis favorit kamu dengan membeli musik original di iTunes atau platform resmi lainnya.