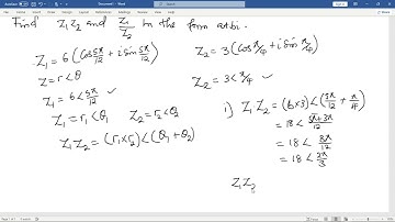
Let z=x+iy be a complex number where x and y are integers. Then area of rectangle tzz'^3+z'z^3=350

Tonton & Download Video Musik Gratis

⬇ DOWNLOAD NOW
Kalau muncul iklan pop-up, tutup lalu klik tombol kembali

Download lagu Let z=x+iy be a complex number where x and y are integers. Then area of rectangle tzz'^3+z'z^3=350 secara gratis hanya untuk keperluan promosi. Dukung artis favorit kamu dengan membeli musik original di iTunes atau platform resmi lainnya.