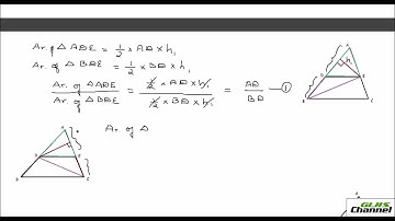
|| BASIC PROPORTIONALITY THEOREM || THALES THEOREM || ELEGANT TUTORIAL||

Tonton & Download Video Musik Gratis

⬇ DOWNLOAD NOW
Kalau muncul iklan pop-up, tutup lalu klik tombol kembali

Download lagu || BASIC PROPORTIONALITY THEOREM || THALES THEOREM || ELEGANT TUTORIAL|| secara gratis hanya untuk keperluan promosi. Dukung artis favorit kamu dengan membeli musik original di iTunes atau platform resmi lainnya.