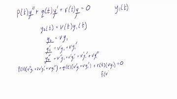
Linear Differential Equation of Second Order | Method of Reduction of Order | If one part is known

Tonton & Download Video Musik Gratis

⬇ DOWNLOAD NOW
Kalau muncul iklan pop-up, tutup lalu klik tombol kembali

Download lagu Linear Differential Equation of Second Order | Method of Reduction of Order | If one part is known secara gratis hanya untuk keperluan promosi. Dukung artis favorit kamu dengan membeli musik original di iTunes atau platform resmi lainnya.