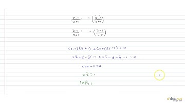
Find the locus of point z in the Argand plane if ` (z-1)/(z+1)` is purely imaginary.

Tonton & Download Video Musik Gratis

⬇ DOWNLOAD NOW
Kalau muncul iklan pop-up, tutup lalu klik tombol kembali

Download lagu Find the locus of point z in the Argand plane if ` (z-1)/(z+1)` is purely imaginary. secara gratis hanya untuk keperluan promosi. Dukung artis favorit kamu dengan membeli musik original di iTunes atau platform resmi lainnya.