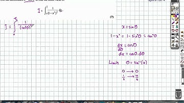
[P4] 6666/01, Edexcel, C4, (GCE), June 2005, Q4, Integration by Substitution, Trigonometry

Tonton & Download Video Musik Gratis

⬇ DOWNLOAD NOW
Kalau muncul iklan pop-up, tutup lalu klik tombol kembali

Download lagu [P4] 6666/01, Edexcel, C4, (GCE), June 2005, Q4, Integration by Substitution, Trigonometry secara gratis hanya untuk keperluan promosi. Dukung artis favorit kamu dengan membeli musik original di iTunes atau platform resmi lainnya.