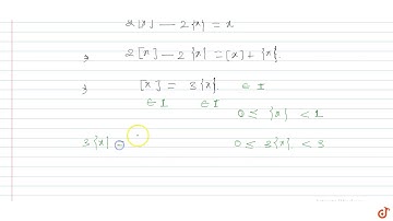
`int_(0)^(4) {sqrt(x)}` is equal to, where {x} denotes the fraction part of x.

Tonton & Download Video Musik Gratis

⬇ DOWNLOAD NOW
Kalau muncul iklan pop-up, tutup lalu klik tombol kembali

Download lagu `int_(0)^(4) {sqrt(x)}` is equal to, where {x} denotes the fraction part of x. secara gratis hanya untuk keperluan promosi. Dukung artis favorit kamu dengan membeli musik original di iTunes atau platform resmi lainnya.