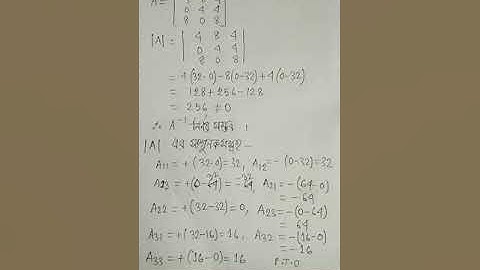
HSC Assignment 2021 Higher Math Full Answer || (ম্যাট্রিক্স ও নির্ণায়ক) ||

Tonton & Download Video Musik Gratis

⬇ DOWNLOAD NOW
Kalau muncul iklan pop-up, tutup lalu klik tombol kembali

Download lagu HSC Assignment 2021 Higher Math Full Answer || (ম্যাট্রিক্স ও নির্ণায়ক) || secara gratis hanya untuk keperluan promosi. Dukung artis favorit kamu dengan membeli musik original di iTunes atau platform resmi lainnya.