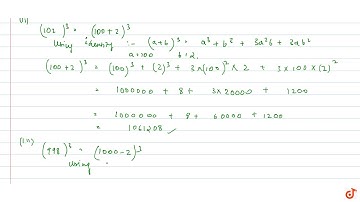
Evaluate the following using suitable identities: `(i)"\ "(99)^(2\ \ \ \ \ \ \ \ \ \ \ \ \ \...

Tonton & Download Video Musik Gratis

⬇ DOWNLOAD NOW
Kalau muncul iklan pop-up, tutup lalu klik tombol kembali

Download lagu Evaluate the following using suitable identities: `(i)"\ "(99)^(2\ \ \ \ \ \ \ \ \ \ \ \ \ \... secara gratis hanya untuk keperluan promosi. Dukung artis favorit kamu dengan membeli musik original di iTunes atau platform resmi lainnya.