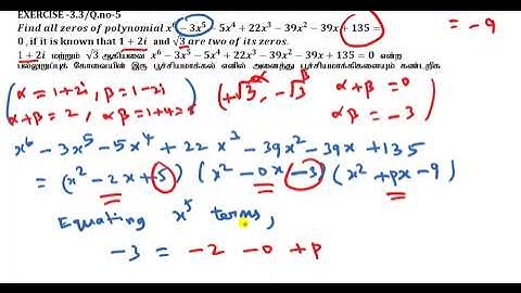
12th Std Maths Ex.3.3(5) Find all zeros of the POLYNOMIAL x^6-3x^5-5x^4+22x^3-39x^2-39x+135 if it is

Tonton & Download Video Musik Gratis

⬇ DOWNLOAD NOW
Kalau muncul iklan pop-up, tutup lalu klik tombol kembali

Download lagu 12th Std Maths Ex.3.3(5) Find all zeros of the POLYNOMIAL x^6-3x^5-5x^4+22x^3-39x^2-39x+135 if it is secara gratis hanya untuk keperluan promosi. Dukung artis favorit kamu dengan membeli musik original di iTunes atau platform resmi lainnya.