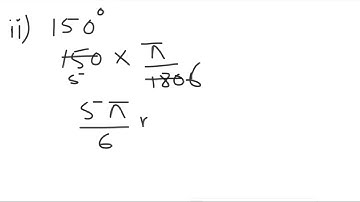
Chapter 6 Exercise # 6 1 Question # 6 Convert the following in radians. Use pi=3.1416

Tonton & Download Video Musik Gratis

⬇ DOWNLOAD NOW
Kalau muncul iklan pop-up, tutup lalu klik tombol kembali

Download lagu Chapter 6 Exercise # 6 1 Question # 6 Convert the following in radians. Use pi=3.1416 secara gratis hanya untuk keperluan promosi. Dukung artis favorit kamu dengan membeli musik original di iTunes atau platform resmi lainnya.