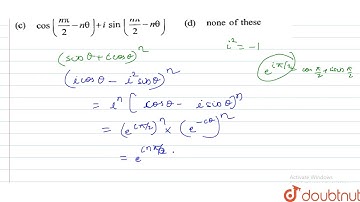
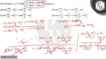
If z = cos θ + i sin θ then z^n+1/z^n = 2 cos nθ and z^n -1/z^n = 2 i sin nθ || Complex Numbers

Tonton & Download Video Musik Gratis

⬇ DOWNLOAD NOW
Kalau muncul iklan pop-up, tutup lalu klik tombol kembali

Download lagu If z = cos θ + i sin θ then z^n+1/z^n = 2 cos nθ and z^n -1/z^n = 2 i sin nθ || Complex Numbers secara gratis hanya untuk keperluan promosi. Dukung artis favorit kamu dengan membeli musik original di iTunes atau platform resmi lainnya.