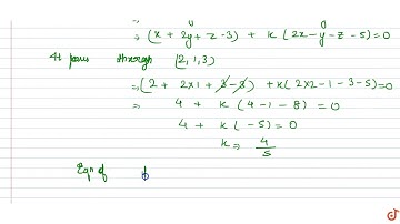
The direction ratios of the normal to the plane passing through origin and the line of intersectio

Tonton & Download Video Musik Gratis

⬇ DOWNLOAD NOW
Kalau muncul iklan pop-up, tutup lalu klik tombol kembali

Download lagu The direction ratios of the normal to the plane passing through origin and the line of intersectio secara gratis hanya untuk keperluan promosi. Dukung artis favorit kamu dengan membeli musik original di iTunes atau platform resmi lainnya.