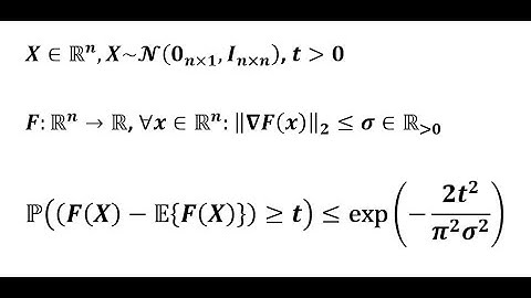
RM+ML: 6. Non-Linear Concentration of Gaussian Random Vectors for Lipschitz Functions.

Tonton & Download Video Musik Gratis

⬇ DOWNLOAD NOW
Kalau muncul iklan pop-up, tutup lalu klik tombol kembali

Download lagu RM+ML: 6. Non-Linear Concentration of Gaussian Random Vectors for Lipschitz Functions. secara gratis hanya untuk keperluan promosi. Dukung artis favorit kamu dengan membeli musik original di iTunes atau platform resmi lainnya.