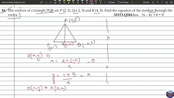
The vertices of ∆ PQR are P (2, 1), Q (–2 ,3) and R (4, 5). Find equation of th|| Worldeez Academy

Tonton & Download Video Musik Gratis

⬇ DOWNLOAD NOW
Kalau muncul iklan pop-up, tutup lalu klik tombol kembali

Download lagu The vertices of ∆ PQR are P (2, 1), Q (–2 ,3) and R (4, 5). Find equation of th|| Worldeez Academy secara gratis hanya untuk keperluan promosi. Dukung artis favorit kamu dengan membeli musik original di iTunes atau platform resmi lainnya.