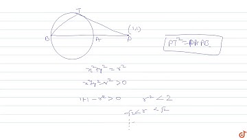
A variable chord of circle x^(2)+y^(2)+2gx+2fy+c=0 passes through the point P(x_(1),y_(1)). Find...

Tonton & Download Video Musik Gratis

⬇ DOWNLOAD NOW
Kalau muncul iklan pop-up, tutup lalu klik tombol kembali

Download lagu A variable chord of circle x^(2)+y^(2)+2gx+2fy+c=0 passes through the point P(x_(1),y_(1)). Find... secara gratis hanya untuk keperluan promosi. Dukung artis favorit kamu dengan membeli musik original di iTunes atau platform resmi lainnya.