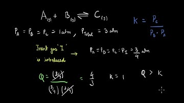
Addition of an inert gas at constant volume to the equilibrium mixture does not affect the posit...

Tonton & Download Video Musik Gratis

⬇ DOWNLOAD NOW
Kalau muncul iklan pop-up, tutup lalu klik tombol kembali

Download lagu Addition of an inert gas at constant volume to the equilibrium mixture does not affect the posit... secara gratis hanya untuk keperluan promosi. Dukung artis favorit kamu dengan membeli musik original di iTunes atau platform resmi lainnya.