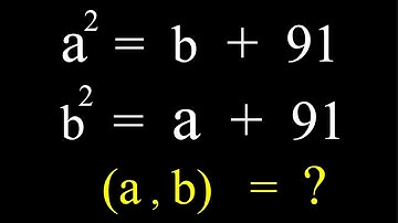
A Nice Olympiad Question | Find the Values of a and b | Only 1% Can Solve This!

Tonton & Download Video Musik Gratis

⬇ DOWNLOAD NOW
Kalau muncul iklan pop-up, tutup lalu klik tombol kembali

Download lagu A Nice Olympiad Question | Find the Values of a and b | Only 1% Can Solve This! secara gratis hanya untuk keperluan promosi. Dukung artis favorit kamu dengan membeli musik original di iTunes atau platform resmi lainnya.